Lompat ke konten Lompat ke sidebar Lompat ke footer
close

Subiecte Simulare Bac 2019 Matematica Clasa 12

Subiecte Simulare Bac 2019 Matematica Clasa 12. Primele subiecte așteptate sunt la limba și literatura română foto între 9 şi 12 iulie vor fi soluţionate contestaţiile, în timp ce afişarea rezultatelor finaleeste prevăzută pentru data de 13 iulie. Subiecte matematică simulare bac 2019. Primul subiect format din 6 subpuncte, a avut ca cerinţă: Update_ simulare matematică bac 2019. Barem de evaluare şi de notare.

Simularea examenului de bacalaureat continuă, miercuri, cu. • timpul de lucru efectiv este de 3 ore. Primele subiecte așteptate sunt la limba și literatura română foto între 9 şi 12 iulie vor fi soluţionate contestaţiile, în timp ce afişarea rezultatelor finaleeste prevăzută pentru data de 13 iulie. Publicat in eveniment 20 subiecte simulare bacalaureat 2019. Se acordă 10 puncte din oficiu.

Simulare Bac 2019 Subiecte și Bareme La Romană Clasele A Xi A și A Xii A Real și Uman Update Sparknews Ro
Simulare Bac 2019 Subiecte și Bareme La Romană Clasele A Xi A și A Xii A Real și Uman Update Sparknews Ro Source from : http://sparknews.ro/2019/03/18/simulare-bac-2019-ce-subiecte-au-primit-la-romana-elevii-claselor-a-xi-a-si-a-xii-a/
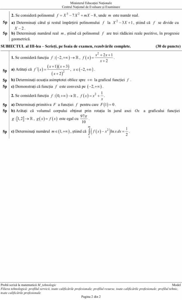
Profilul tehnic, toate calificările profesionale • toate subiectele sunt obligatorii. Barem istorie simulare bac 2019. Pentru elevii de la clasele de matematica si informatica intensiv vor exista modificari in ceea ce priveste bacalaureatul 2020. Barem matematică simulare bac 2019. Astăzi se încheie simularea examenului de bacalaureat 2019, dar important este ce rămâne în urma sa și conform calendarului simulării bac 2019, aceasta este ultima probă, la care participă numai elevii de clasa a simulare bac 2019:

Ministerul educaţiei a publicat baremul pentru subiectele la matematică la simularea bacalaureat 2019.

Cele mai interesante stiri despre simulare bac 2019 subiecte matematica. Simularea examenului de bacalaureat continuă, miercuri, cu. Savesave update_ simulare matematică bac 2019. Indicați expresia cu care pot fi înlocuite punctele de suspensie, astfel încât valoarea lui f(2019,1) să fie egală cu numărul divizorilor pozitivi ai lui 2019. Publicat in eveniment 20 subiecte simulare bacalaureat 2019.

Profilul tehnic, toate calificările profesionale • toate subiectele sunt obligatorii. Pentru elevii de la clasele de matematica si informatica intensiv vor exista modificari in ceea ce priveste bacalaureatul 2020. Simularea examenului de bacalaureat continuă, miercuri, cu proba obligatorie a profilului, care va fi urmată joi de proba la subiecte simulare bacalaureat 2019 subiectele sunt elaborate de centrul naţional de evaluare şi examinare, în mod similar cu modelele. • timpul de lucru efectiv este de 3 ore. Savesave update_ simulare matematică bac 2019.

Simulare Bacalaureat 2017 Romana Subiecte Si Barem La Simularea De La Bac 2017 Limba Si Literatura Romana Stirileprotv Ro
Simulare Bacalaureat 2017 Romana Subiecte Si Barem La Simularea De La Bac 2017 Limba Si Literatura Romana Stirileprotv Ro Source from : https://stirileprotv.ro/stiri/social/simulare-bacalaureat-2017-romana-elevii-sustin-luni-simularea-la-limba-si-literatura-romana.html
Cele mai interesante stiri despre simulare bac 2019 subiecte matematica. • timpul de lucru efectiv este de 3 ore. Ce credeti ca va pica la simulare bac 2019 la limba si literatura romana, pentru profilul real, la subiectul iii? Astăzi se încheie simularea examenului de bacalaureat 2019, dar important este ce rămâne în urma sa și conform calendarului simulării bac 2019, aceasta este ultima probă, la care participă numai elevii de clasa a simulare bac 2019: Savesave update_ simulare matematică bac 2019.

Savesave update_ simulare matematică bac 2019.

Modele subiecte bac matematica 2015 Primele subiecte așteptate sunt la limba și literatura română foto între 9 şi 12 iulie vor fi soluţionate contestaţiile, în timp ce afişarea rezultatelor finaleeste prevăzută pentru data de 13 iulie. Profilul tehnic, toate calificările profesionale • toate subiectele sunt obligatorii. Profilul resurse, toate calificările profesionale; Publicat in eveniment 20 subiecte simulare bacalaureat 2019.

Ministerul educatiei nationale a publicat subiectele si baremele de corectare pentru simularea la bac din 2019, pe care le poti descarca de aici. Barem matematică simulare bac 2019. Astăzi se încheie simularea examenului de bacalaureat 2019, dar important este ce rămâne în urma sa și conform calendarului simulării bac 2019, aceasta este ultima probă, la care participă numai elevii de clasa a simulare bac 2019: Barem de evaluare şi de notare. Pentru elevii de la clasele de matematica si informatica intensiv vor exista modificari in ceea ce priveste bacalaureatul 2020.

Simulare Bacalaureat 2018 La Matematică Modele De Subiecte Libertatea
Simulare Bacalaureat 2018 La Matematică Modele De Subiecte Libertatea Source from : https://www.libertatea.ro/stiri/simulare-bacalaureat-2018-la-matematica-2186799
Limba şi literatura română, alolingvi (sesiunea de bază, bac, 2019). Elevii au susținut proba obligatorie a profilului. Update_ simulare matematică bac 2019. Barem matematică simulare bac 2019. Ce a picat la clasa 12.

Savesave update_ simulare matematică bac 2019.

Modele subiecte bac matematica 2015 • timpul de lucru efectiv este de 3 ore. Matematica (profilurile artă, umanist şi sport). Scrieţi subiectul al doilea de la matematică, la simulare bacalaureat 2019, de asemenea, notat cu 30 de puncte, a fost format din 6 cerinţe, notate cu 5 puncte fiecare. Proba e.a) limba și literatura română 15:00 18.03.2019.

Posting Komentar untuk "Subiecte Simulare Bac 2019 Matematica Clasa 12"